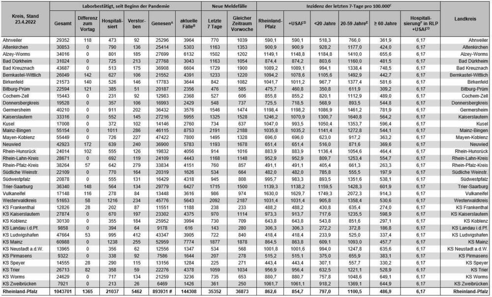
Die Fallzahlen zum Coronavirus in Rheinland-Pfalz: Seit Freitag (22. April 2022) gibt es 1.365 neue bestätigte Corona-Fälle, 0 weitere Personen sind im Zusammenhang mit einer Infektion gestorben.

Die aktuellen Zahlen:
- Die landesweite 7-Tages-Inzidenz beträgt 862,6 pro 100.000 Einwohner
- Die landesweite 7-Tages-Hospitalisierungsinzidenz beträgt 6,17 pro 100.000 Einwohner.
Anmerkungen zur Tabelle: Dargestellt sind ausschließlich mittels PCR laborbestätigte Meldefälle.
Genesen wurde wie folgt definiert:
nicht-verstorben, nicht-hospitalisiert und vor mehr als 21 Tagen ab Datenstichtag erkrankt
nicht-verstorben, hospitalisiert gemeldet und vor mehr als 28 Tagen ab Datenstichtag erkrankt
nicht-verstorben, Hospitalisierung unbekannt und vor mehr als 28 ab Datenstichtag Tagen erkrankt
Sofern kein Erkrankungsdatum vorliegt, wird das geschätzte Erkrankungsdatum aus Meldedatum minus mittlerem Meldeverzug von derzeit 5 Tagen verwendet.





